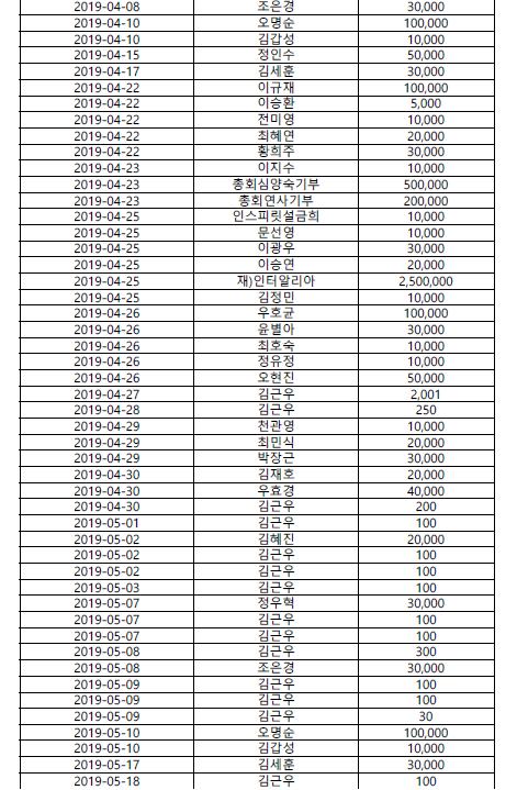
2019년 기부금, 후원자 현황입니다 페이지 정보 작성자 사무국 작성일 20-01-31 14:17 조회 2,875회 본문 2019년 기부금, 후원자 현황입니다.관심과 공감, 참여와 후원에 감사드립니다. 목록 이전글2020년 기부금, 후원자 현황입니다 21.01.12 다음글준비 중입니다 19.04.18 댓글목록 댓글목록 등록된 댓글이 없습니다.